50,083
2月6日12时,《张朝阳的物理课》第二十六期开播。搜狐创始人、董事局主席兼CEO张朝阳坐镇搜狐视频直播间,开讲谐振子模型的量子化问题。张朝阳先回顾经典力学中谐振子的运动方程、势能,再从双原子分子中两个原子间的势能出发,通过泰勒展开得到最低势能点附近的谐振子近似,以此阐述了谐振子在微观世界的普遍性,最后通过求解谐振子的薛定谔方程,带领网友成功理解谐振子模型的量子化问题。

“人生的意义在于干活。”张朝阳在小白板上写下“虎年第二课”,同时为网友送上虎年祝福,他说,“干活需要学习,有了知识,才能更有效地干活。学物理,可以了解世界。”他也介绍,已有很多物理学家来搜狐视频开讲,“短视频时代,有心学习,除了看直播,还可反复看回放。”
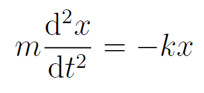
回顾经典线性谐振子:胡克定律与运动方程
张朝阳先带着网友回顾经典力学中的谐振子问题。以弹簧-小球模型为例,在经典力学中,谐振子的回复力是F=-kx,即所谓的胡克定律。根据牛顿第二运动定律,可以得到谐振子的运动方程:

他告诉网友,在通常的处理中,物理学家会通过定义角频率ω0=√(k/m)来简化符号的使用。他快速给出上述方程的解的形式:x=Re[x0 e^(iω0 t)]。他提醒说,“谐振子以正弦的形式振动,ω0是振动的角频率。”他也顺势介绍谐振子在振动过程中,动能和势能互相转化,总能量保持不变。在谐振子中,势能的微分du=-Fdx,于是得出谐振子的势能公式。

分子势能模型:选取平衡位置点 泰勒展开做近似
谐振子是弹簧的理想模型,但是微观世界并没有弹簧,那么谐振子对于量子力学有什么意义呢?张朝阳以双原子分子为例,对此作出生动的介绍。他在小白板上明示双原子分子中的两个原子之间的势能。

(双原子分子中的两个原子之间的势能曲线(右上角))
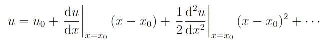
他说,“这个势能曲线有一个最低点。”从经典力学来看,当系统能量比较小时,双原子分子将会处在最低能处附近。而势能曲线在势能最低的形状恰好和抛物线类似,因此可以近似成谐振子。对此,张朝阳带着网友进行公式推导,主要方法来自于势能在能量最低点的泰勒展开:

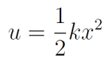
他提醒网友,“省略号表示泰勒展开的高阶项,可忽略。”他还指出,在势能最低点,势能的一次导数为0,于是上式的一次项为0。把二阶导数记为k,重新定义势能零点和坐标原点,即可以把势能近似为谐振子势能的形式:

“谐振子在物理中显得特别重要”,张朝阳强调了这个结论的普遍性。总的来说,只要是考虑势能极小值附近的微扰问题,都可以近似为谐振子。
求解薛定谔方程:谐振子能级与波函数
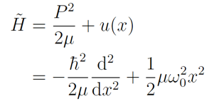
提到谐振子的哈密顿算符,张朝阳再列公式做推导。

“μ是等效质量”,他说,处理氢原子的时候由于质子比电子重很多,质子可以近似为在质心系中静止,因此哈密顿量可以直接用电子质量m。但是对于双原子分子,分子间的质量相差不大,哈密顿量里边的质量不能再直接使用其中某个原子的质量。
“有了谐振子的哈密顿量之后,就可以直接写出定态薛定谔方程了。”他告诉网友。


(张朝阳讲解谐振子的薛定谔方程)
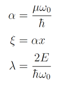
于是,张朝阳作了变量代换:

将薛定谔方程化简为:

他边推导边介绍,解此类方程在前面的课程已经进行过很多次了。为了进一步简化上述方程,需考虑当ξ趋向于无穷大时,这个方程近似为:

根据此近似,张朝阳把波函数变换为:

将此式代入原来的方程,即可得到:

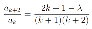
其中关于ξ的二次项已经被消掉了。至此,张朝阳将H展开成幂级数代入方程,得到了系数的递推关系。(备注:后面将看到波函数中的H函数为Hermite多项式形式,故这里取其首字母。)

紧接着,张朝阳分析了如此递推公式下的幂级数,如果不截断成多项式,会导致波函数不满足边界条件,也就是波函数无法归一化。如果要求这个幂级数截断成多项式,则有2k+1-λ=0,从而λ=2k+1。按照一般习惯将k写为n,再结合前方变量代换中λ和E的关系,可得:

据此,张朝阳强调,谐振子的能量不是连续的,而是存在间隔的。这就是谐振子量子化的体现。他说,“经典力学中的谐振子能量就像斜坡,量子力学中的谐振子能量则是台阶,一级一级的。”
最后,他还介绍了谐振子定态波函数的具体形式。

(张朝阳介绍谐振子的定态波函数和能级)
拓展讨论:基态波函数、不确定性关系、等间距能级与零点能
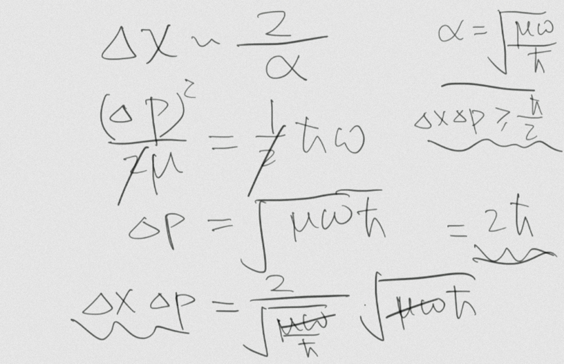
张朝阳以谐振子基态波函数为例,强调基态的概率分布是高斯分布。先是通过概率分布的集中部分估算了Δx,然后根据动量和能量的关系估算了Δp,最后确认了两者的乘积确实满足不确定性关系。

(谐振子基态满足不确定性关系)
他强调,谐振子最低能态(n=0的态)的能量不是0,也就是具有所谓的“零点能”。这是和经典力学不一样的。不过,由于谐振子相邻能级之间的差为固定值,而热激发只和能量差有关,因此,当年普朗克的黑体辐射公式才能和实验完全吻合。
搜狐视频发力知识直播 传播知识玩转科学
自11月5日至今,《张朝阳的物理课》已直播二十多期。在第一、二课中,张朝阳科普了“力”和“速度”,算出马斯克的飞船和中国空间站每日绕地飞行圈数;第三、四课和“振动”相关,科普可见光的基本知识;第五、六课引发了关于音速和温度的大讨论;在第七、八、九课重温经典物理学的两朵乌云。
第十、十一课重点回顾黑体辐射曲线及其应用;第十二、十三、十四课尝试进入爱因斯坦的思想世界,推导出著名的公式“E=mc²”,并论证钟慢尺缩效应;第十五课讲解了原子的结构和原子核的衰变;第十六课开始进入量子力学,讨论光的波粒二象性、康普顿散射、海森堡不确定性原理,以及薛定谔方程等。
从二十多期的物理课可以看出,《张朝阳的物理课》的直播风格独树一帜——通过观察日常生活现象、用网友最熟悉的话题来提升兴趣,再以公式推导的方式解释其背后的物理原理,“透过现象看本质”,进而反过来解决生活中的类似问题。
张朝阳认为研究自然界是特别有意思的事情,他希望物理课的受众能保有好奇心,“在好奇心驱使下,了解自然界的奥秘,了解我们在这个世界生存的道理”。该课程于每周周五、周日12时在搜狐视频直播。同时,网友可以在搜狐视频“关注流”中搜索“张朝阳”,观看往期完整视频回放。
除《张朝阳的物理课》外,搜狐视频也邀请各专业领域头部播主入驻,直播科普知识,传递价值。北京交通大学理学院教师陈征博士玩起了“奇趣的科学实验”,走进“光的波粒二象性”;康奈尔大学物理化学博士包坤教普通人看懂2021年诺贝尔奖;还有天体物理博士刘博洋科普“日全食是怎么产生的”,理论物理博士后周思益也开通“弦论世界”直播课等。未来,还将有更多知识播主入驻,一起互动玩转科学。